《杨公三元二十四山水秘诀》清抄本,含三元挨星诀、山龙、水龍挨星
2023-03-15 12:14:16 风水堪舆
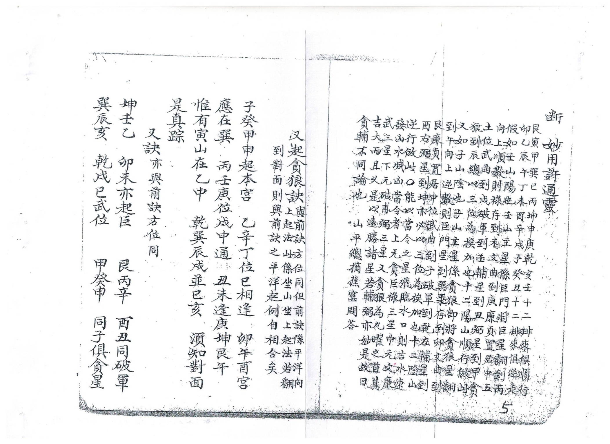
《杨公三元二十四山水秘诀》又名《杨公山水秘诀》,内容包含阴逆数,新纂二十四山挨山起星歌诀,二十四山挨水起星歌诀,龙向上起挨星诀,平洋向上起贪狼诀,注明四隅阳卦贪狼,注明四隅阴卦贪狼,地理録要所载原本挨星诀,断妙用许通灵,又起贪狼诀,龙祖出脉剥换各局法,山水秘诀,山上龙神,龙法三格,太极篇,定卦篇分水局,平洋千金诀,醒心篇,三元局法,分宫定局,九宫八卦星诀,就宫活法(挨星),阳宅论,断法(修方断),阳宅吉凶方位总诀,六事歌断,阳宅三格等。
部分书影:
pdf电子版大小:38MB,合计62个筒子页(双面123页)
查看下载地址:
免责声明:本站所有信息均来源于互联网搜集,并不代表本站观点,本站不对其真实合法性负责。如有信息侵犯了您的权益,请告知,本站将立刻删除。









